根据考生第一志愿及中考成绩,我校确定了第一批拟录取学生名单。请该批次学生于8月24—25日到我校领取录取通知书,并且凭录取通知书入学注册报到。(注:未达到拟录取条件的考生,学校将采取笔试或面试的考核方式择优录取,具体时间另行通知。)
注意事项:
1.凭学生本人身份证和报名登记表领取录取通知书。
2.报护理、医学检验技术等专业学生应无色盲、色弱等情况。有严重残疾、纹身和不良行为记录,以及心理智力障碍者不予录取。
3.考生填报成绩必须真实有效,如有虚报成绩者,按照不诚信考生对待,不予录取。
4.凡在我校或者其他高中、中职学校被勒令退学的学生不予录取。
请已经被录取学生注意学校微信公众号里的《天水市卫生学校新生报到注册须知》,登记了但尚未录取学生,注意“补录通知”。
2022年8月12日
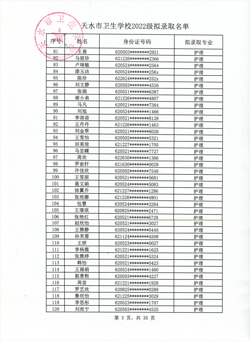
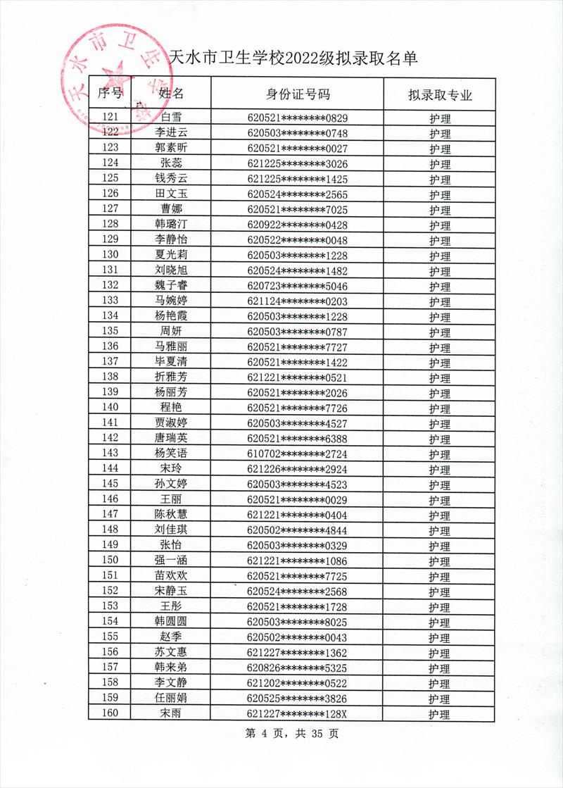
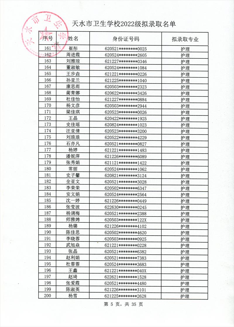
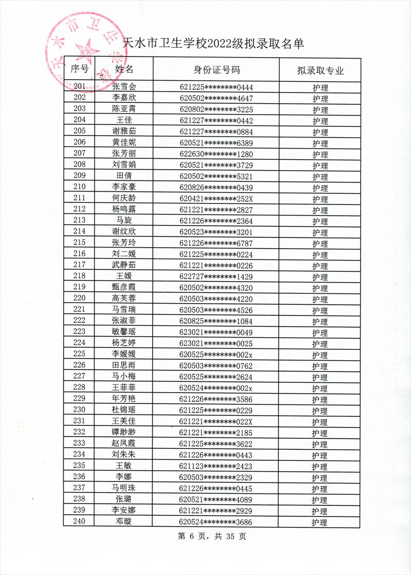
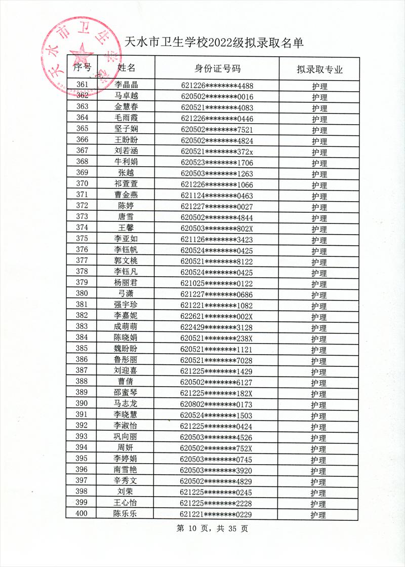
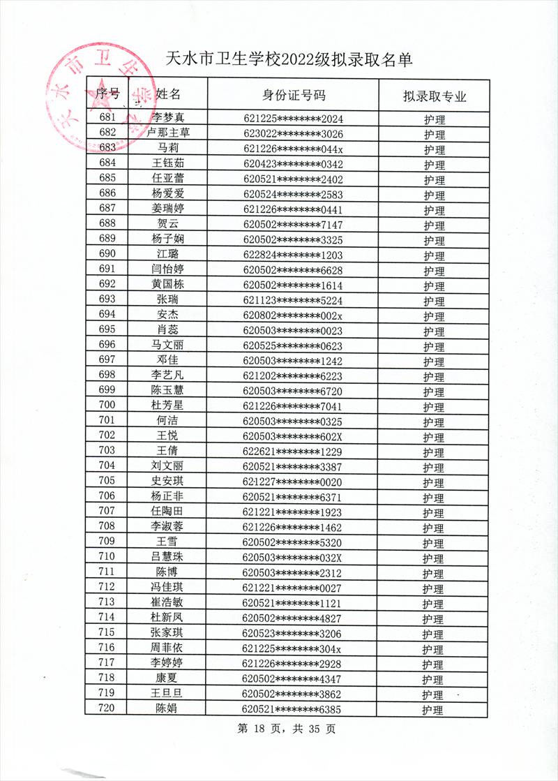
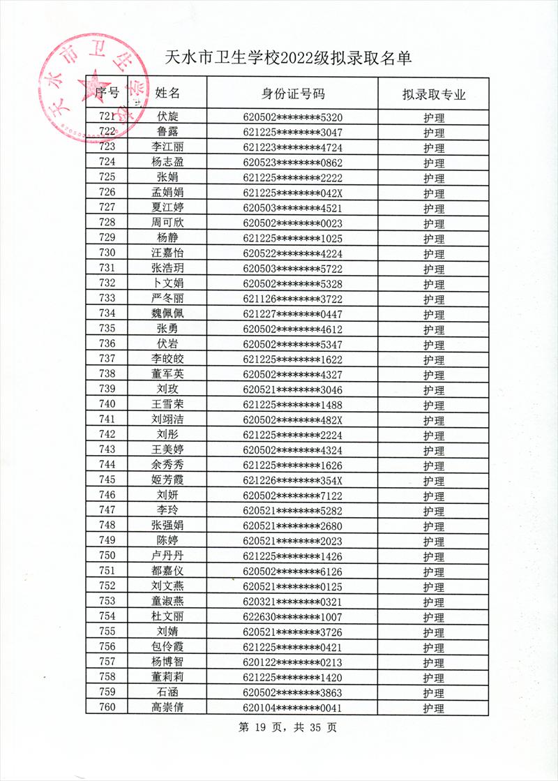
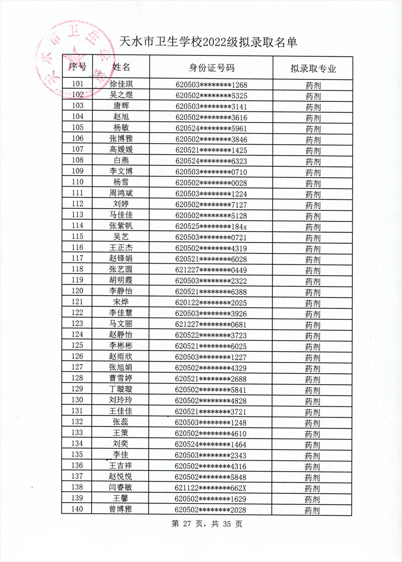
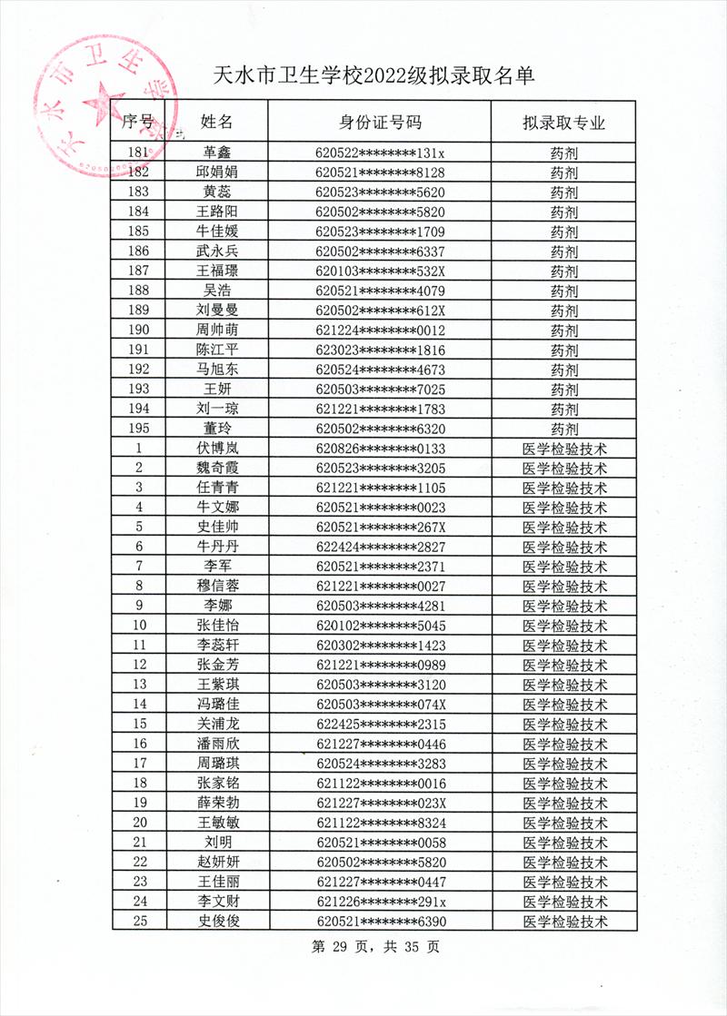
录取名单


































